BusphotoBUSPHOTO

Picture Statistics

561 KB


Picture ID:639014
File Size:561 KB
Author:_minskiy
Publication Date:16.06.2024 11:54 EET
Days in Database:608
Unique views:445
Comments:2

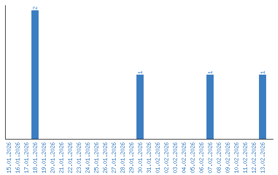
Viewing statistics by date