BusphotoBUSPHOTO

Nuotraukos informacija

307 Kb


Nuotraukos identifikatorius:639469
Bylos dydis:307 Kb
Autorius:Santehnik
Publikuota:17.06.2024 09:54 EET
Yra tinklapyje dienų:581
Unikalių peržiūrų:116
Komentarų:0

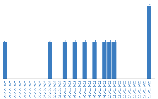
Peržiūrų dinamika pagal dienas