BusphotoBUSPHOTO

Picture Statistics

327 KB


Picture ID:639547
File Size:327 KB
Author:Overdose
Publication Date:17.06.2024 10:53 EET
Days in Database:591
Unique views:353
Comments:0

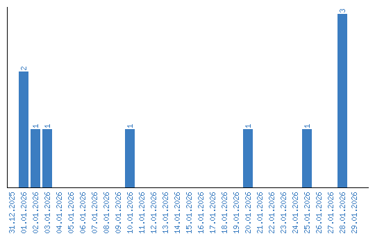
Viewing statistics by date