BusphotoBUSPHOTO

Picture Statistics

668 KB


Picture ID:640264
File Size:668 KB
Author:elf444kz
Publication Date:18.06.2024 22:11 EET
Days in Database:617
Unique views:145
Comments:0

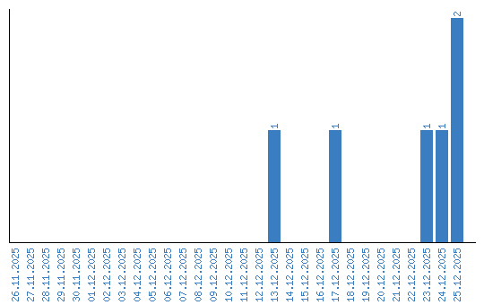
Viewing statistics by date