BusphotoBUSPHOTO

Picture Statistics

295 KB


Picture ID:640765
File Size:295 KB
Author:olegp
Publication Date:20.06.2024 21:17 EET
Days in Database:547
Unique views:188
Comments:0

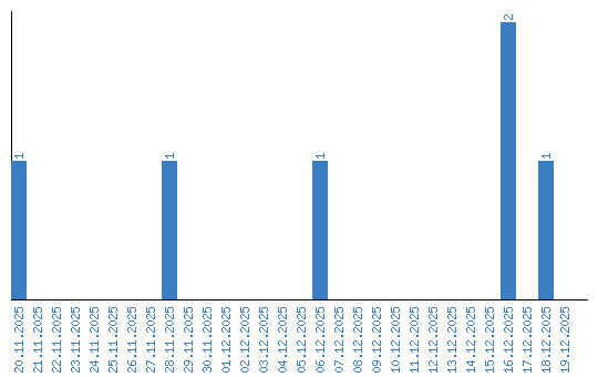
Viewing statistics by date