BusphotoBUSPHOTO

Picture Statistics

343 KB


Picture ID:640949
File Size:343 KB
Author:Overdose
Publication Date:21.06.2024 08:21 EET
Days in Database:588
Unique views:181
Comments:0

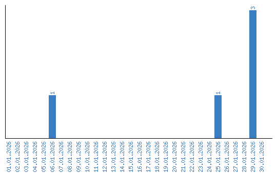
Viewing statistics by date