BusphotoBUSPHOTO

Picture Statistics

685 KB


Picture ID:642103
File Size:685 KB
Author:MichelH
Publication Date:23.06.2024 23:25 EET
Days in Database:550
Unique views:273
Comments:0

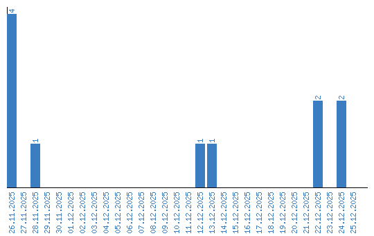
Viewing statistics by date