BusphotoBUSPHOTO

Picture Statistics

2780 KB


Picture ID:644303
File Size:2780 KB
Author:Meki
Publication Date:30.06.2024 12:31 EET
Days in Database:561
Unique views:205
Comments:0

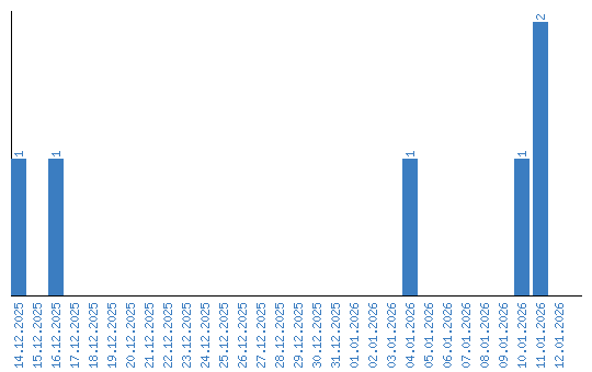
Viewing statistics by date