BusphotoBUSPHOTO

Picture Statistics

298 KB


Picture ID:645325
File Size:298 KB
Author:olegp
Publication Date:03.07.2024 09:12 EET
Days in Database:577
Unique views:272
Comments:0

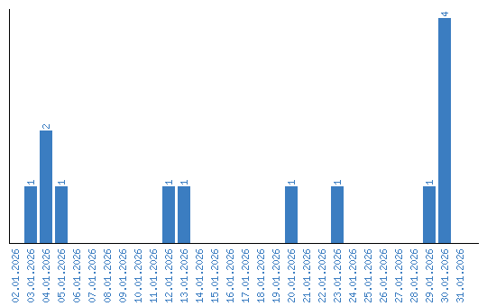
Viewing statistics by date