BusphotoBUSPHOTO

Picture Statistics

330 KB


Picture ID:645645
File Size:330 KB
Author:ToBen
Publication Date:04.07.2024 11:19 EET
Days in Database:601
Unique views:314
Comments:0

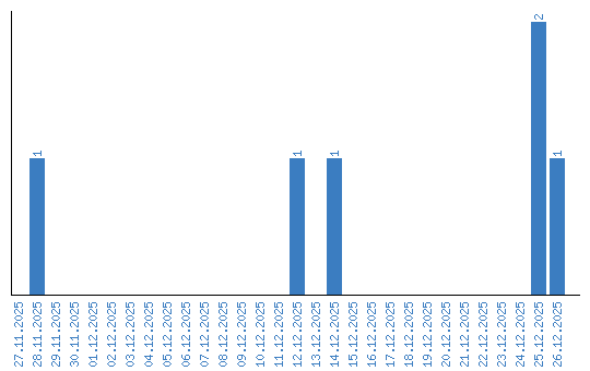
Viewing statistics by date