BusphotoBUSPHOTO

Picture Statistics

354 KB


Picture ID:645740
File Size:354 KB
Author:ToBen
Publication Date:04.07.2024 14:32 EET
Days in Database:574
Unique views:119
Comments:0

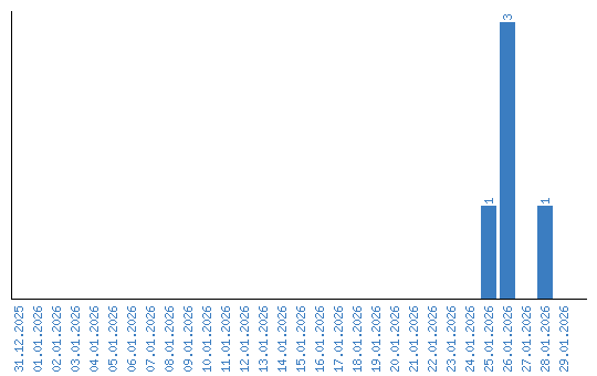
Viewing statistics by date