BusphotoBUSPHOTO

Picture Statistics

445 KB


Picture ID:646404
File Size:445 KB
Autorul:ToBen
Publication Date:05.07.2024 20:50 EET
Days in Database:555
Unique views:303
Comments:0

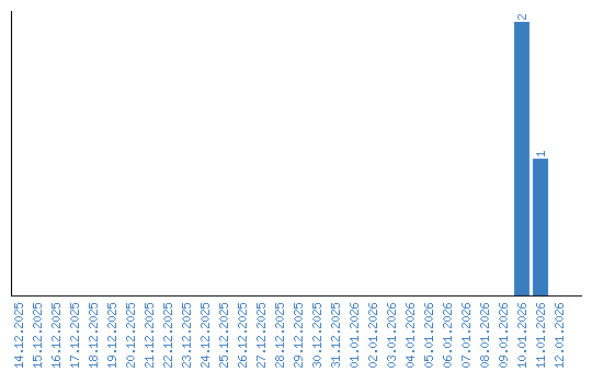
Viewing statistics by date