BusphotoBUSPHOTO

Picture Statistics

682 KB


Picture ID:650511
File Size:682 KB
Author:elf444kz
Publication Date:17.07.2024 22:53 EET
Days in Database:565
Unique views:171
Comments:0

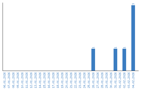
Viewing statistics by date