BusphotoBUSPHOTO

Iнфармацыя аб малюнку

2312 КБ


Ідэнтыфікатар малюнка:652180
Памер файла:2312 КБ
Аўтар:Eisenbahn Kassel und co
Апублікавана:22.07.2024 09:04 EET
Знаходзіцца на сайце, дзён:578
Унікальных праглядаў:446
Каментароў:0

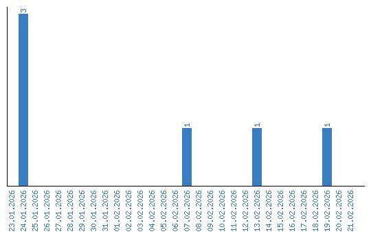
Дынаміка праглядаў па датах