BusphotoBUSPHOTO

Iнфармацыя аб малюнку

9940 КБ


Ідэнтыфікатар малюнка:655074
Памер файла:9940 КБ
Аўтар:Florian27.02
Апублікавана:30.07.2024 20:53 EET
Знаходзіцца на сайце, дзён:530
Унікальных праглядаў:171
Каментароў:0

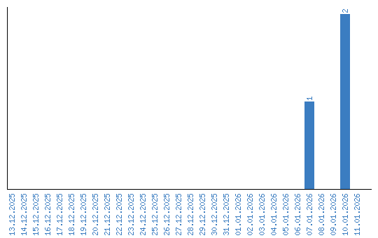
Дынаміка праглядаў па датах