BusphotoBUSPHOTO

Picture Statistics

470 KB


Picture ID:655588
File Size:470 KB
Author:Вадим Карагандинец
Publication Date:31.07.2024 23:28 EET
Days in Database:547
Unique views:172
Comments:0

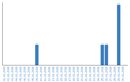
Viewing statistics by date