BusphotoBUSPHOTO

Picture Statistics

277 KB


Picture ID:656086
File Size:277 KB
Author:olegp
Publication Date:03.08.2024 00:15 EET
Days in Database:510
Unique views:155
Comments:0

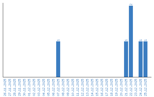
Viewing statistics by date