BusphotoBUSPHOTO

Picture Statistics

691 KB


Picture ID:656909
File Size:691 KB
Author:DerJan162
Publication Date:05.08.2024 20:29 EET
Days in Database:573
Unique views:526
Comments:0

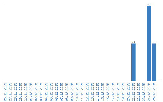
Viewing statistics by date