BusphotoBUSPHOTO

Statistiques d'images

4295 KO


ID de l'image:659276
Taille du fichier:4295 KO
Auteur:sr20123
Date de publication:12.08.2024 18:49 EET
Jours dans la base de données:547
Vues uniques:177
Commentaires:0

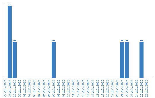
Affichage des statistiques par date