BusphotoBUSPHOTO

Picture Statistics

348 KB


Picture ID:659418
File Size:348 KB
Author:olegp
Publication Date:12.08.2024 20:55 EET
Days in Database:535
Unique views:237
Comments:0

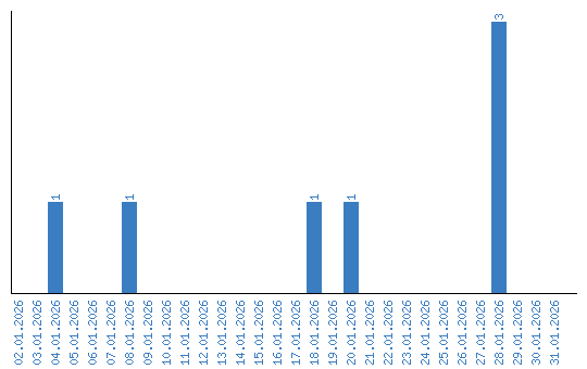
Viewing statistics by date