BusphotoBUSPHOTO

Picture Statistics

647 KB


Picture ID:659448
File Size:647 KB
Author:Дмитрий_931
Publication Date:12.08.2024 21:38 EET
Days in Database:549
Unique views:189
Comments:0

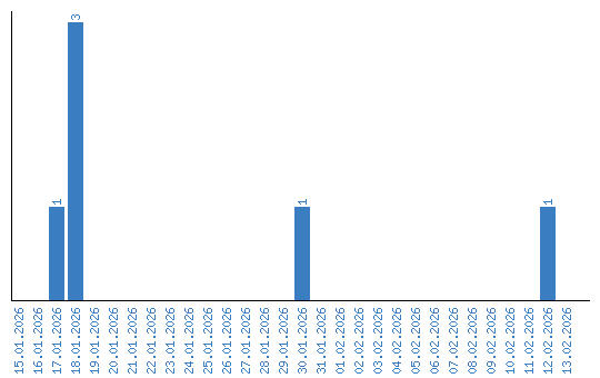
Viewing statistics by date