BusphotoBUSPHOTO

Picture Statistics

235 KB


Picture ID:663885
File Size:235 KB
Author:hama schmid
Publication Date:23.08.2024 12:13 EET
Days in Database:540
Unique views:215
Comments:0

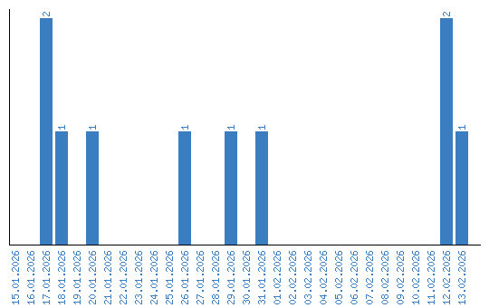
Viewing statistics by date