BusphotoBUSPHOTO.EU

Statystyki zdjęcia

396 kB


Identyfikator zdjęcia:66448
Rozmiar pliku:396 kB
Autor:ANdrei333
Data publikacji:02.02.2013 20:22 EET
Liczba wyświetleń dzisiaj:4759
Łączna ilość wyświetleń:148
Komentarze:0

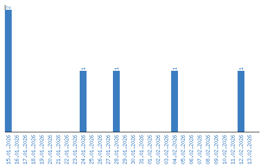
Liczba oglądających według dat