BusphotoBUSPHOTO

Picture Statistics

324 KB


Picture ID:668621
File Size:324 KB
Author:olegp
Publication Date:05.09.2024 21:32 EET
Days in Database:476
Unique views:147
Comments:0

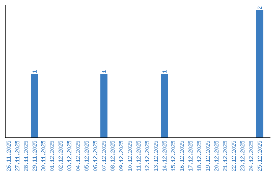
Viewing statistics by date