BusphotoBUSPHOTO

Picture Statistics

283 KB


Picture ID:670881
File Size:283 KB
Author:ToBen
Publication Date:12.09.2024 23:09 EET
Days in Database:507
Unique views:110
Comments:0

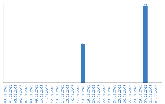
Viewing statistics by date