BusphotoBUSPHOTO

Picture Statistics

815 KB


Picture ID:671263
File Size:815 KB
Author:Dinar
Publication Date:14.09.2024 14:39 EET
Days in Database:485
Unique views:153
Comments:0

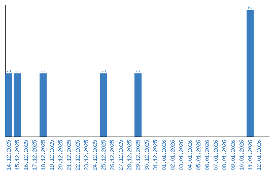
Viewing statistics by date