BusphotoBUSPHOTO

Picture Statistics

579 KB


Picture ID:673975
File Size:579 KB
Author:Foreste
Publication Date:22.09.2024 21:21 EET
Days in Database:496
Unique views:251
Comments:0

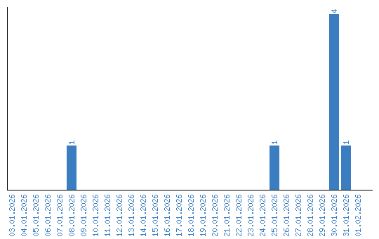
Viewing statistics by date