BusphotoBUSPHOTO

Picture Statistics

537 KB


Picture ID:675245
File Size:537 KB
Author:ToBen
Publication Date:27.09.2024 20:29 EET
Days in Database:517
Unique views:261
Comments:0

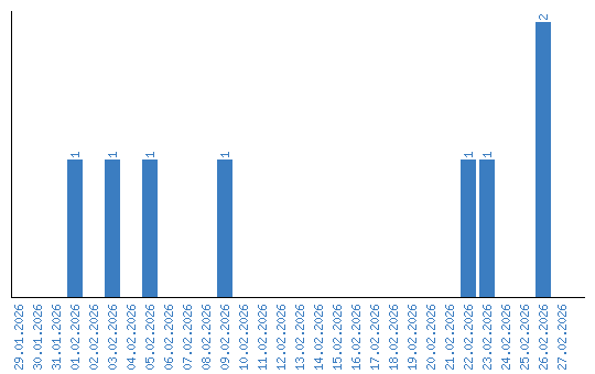
Viewing statistics by date