BusphotoBUSPHOTO

Picture Statistics

621 KB


Picture ID:679141
File Size:621 KB
Author:Hawkeye
Publication Date:05.10.2024 15:54 EET
Days in Database:448
Unique views:312
Comments:0

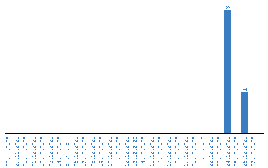
Viewing statistics by date