BusphotoBUSPHOTO

Picture Statistics

2997 KB


Picture ID:680299
File Size:2997 KB
Fotografato da:PosztoHUN
Publication Date:06.10.2024 23:10 EET
Days in Database:473
Unique views:402
Comments:0

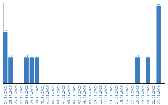
Viewing statistics by date