BusphotoBUSPHOTO

Информация за снимката

2179 КБ


Идентификатор на снимки:680352
Размер на файла:2179 КБ
Автор:lordleon
Качено:06.10.2024 23:28 EET
Стоящо в сайта, дни:496
Уникални преглеждания:120
Коментари:0

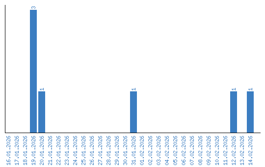
Динамика на преглежданията по дата