BusphotoBUSPHOTO

Picture Statistics

714 KB


Picture ID:681388
File Size:714 KB
Author:PAI48259
Publication Date:09.10.2024 18:51 EET
Days in Database:492
Unique views:231
Comments:0

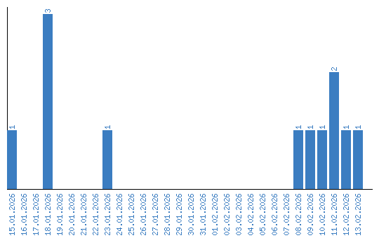
Viewing statistics by date