BusphotoBUSPHOTO

Picture Statistics

1807 KB


Picture ID:681731
File Size:1807 KB
Author:BKMwO
Publication Date:10.10.2024 20:29 EET
Days in Database:477
Unique views:192
Comments:0

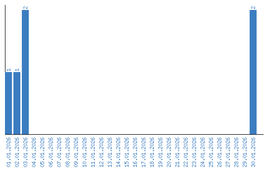
Viewing statistics by date