BusphotoBUSPHOTO

Picture Statistics

460 KB


Picture ID:682726
File Size:460 KB
Author:Hawkeye
Publication Date:13.10.2024 22:09 EET
Days in Database:472
Unique views:103
Comments:0

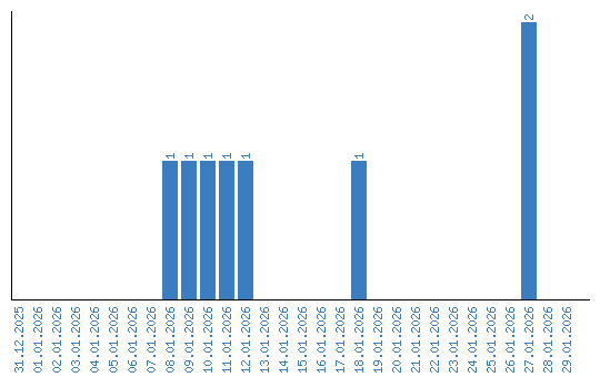
Viewing statistics by date