BusphotoBUSPHOTO

Picture Statistics

2989 KB


Picture ID:683578
File Size:2989 KB
Fotografato da:busspoter.ac
Publication Date:15.10.2024 23:46 EET
Days in Database:438
Unique views:230
Comments:0

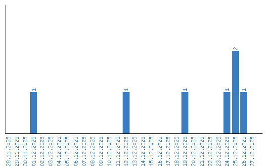
Viewing statistics by date