BusfotoBUSFOTO

Bildinformationen

4206 KB


Foto-ID:684123
Dateigröße:4206 KB
Aufgenommen von:S. Franke
Veröffentlicht am:17.10.2024 18:33 EET
Tage seit Veröffentlichung:435
Aufrufe:263
Kommentare:0

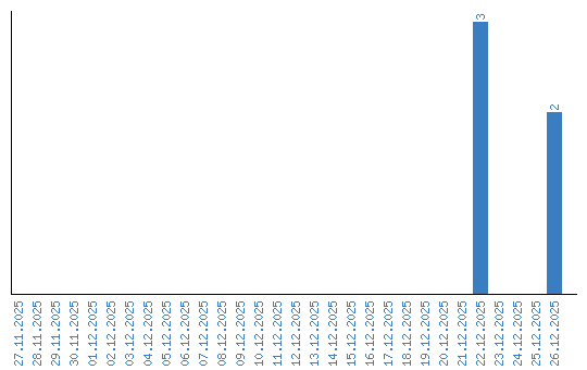
Aufrufestatistik (Tage)