BusphotoBUSPHOTO

Picture Statistics

774 KB


Picture ID:688083
File Size:774 KB
Author:Артём Дмитренко
Publication Date:28.10.2024 21:59 EET
Days in Database:423
Unique views:178
Comments:0

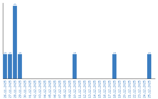
Viewing statistics by date