BusphotoBUSPHOTO

Picture Statistics

8078 KB


Picture ID:688233
File Size:8078 KB
Author:buspictures.nbg
Publication Date:29.10.2024 14:26 EET
Days in Database:422
Unique views:245
Comments:0

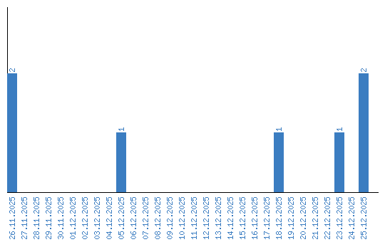
Viewing statistics by date