BusphotoBUSPHOTO

Informatsioon foto kohta

678 KB


Pildi ID:690015
Faili suurus:678 KB
Autor:hotimsk
Avaldatud:01.11.2024 20:33 EET
Päevi saidil:466
Unikaalseid vaatamisi:212
Kommentaare:0

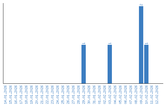
Vaatamiste statistika kuupäeviti