BusphotoBUSPHOTO

Picture Statistics

1480 KB


Picture ID:690974
File Size:1480 KB
Author:Tatra-Fan
Publication Date:03.11.2024 18:53 EET
Days in Database:422
Unique views:108
Comments:0

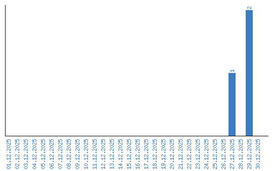
Viewing statistics by date