BusphotoBUSPHOTO

Picture Statistics

347 KB


Picture ID:691595
File Size:347 KB
Author:olegp
Publication Date:05.11.2024 19:10 EET
Days in Database:416
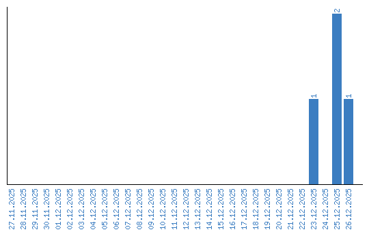
Unique views:51
Comments:0

Viewing statistics by date