BusphotoBUSPHOTO

Picture Statistics

300 KB


Picture ID:691964
File Size:300 KB
Author:LAEN
Publication Date:06.11.2024 15:03 EET
Days in Database:415
Unique views:86
Comments:0

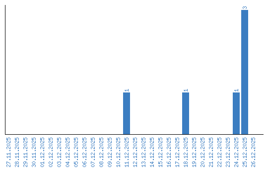
Viewing statistics by date