BusphotoBUSPHOTO

Picture Statistics

277 KB


Picture ID:691978
File Size:277 KB
Author:LAEN
Publication Date:06.11.2024 15:04 EET
Days in Database:476
Unique views:110
Comments:0

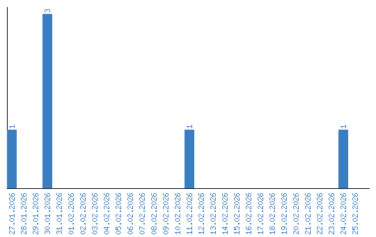
Viewing statistics by date