BusphotoBUSPHOTO

Picture Statistics

814 KB


Picture ID:693611
File Size:814 KB
Author:Артём Дмитренко
Publication Date:11.11.2024 18:55 EET
Days in Database:442
Unique views:149
Comments:0

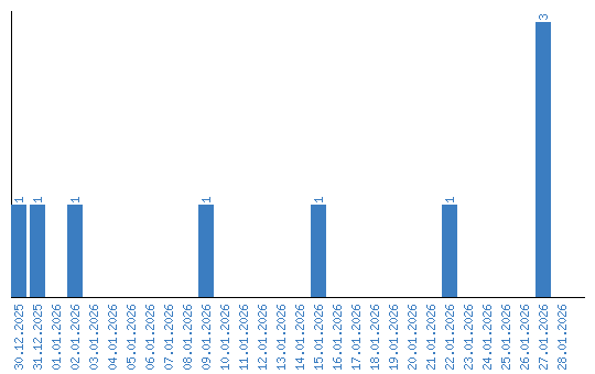
Viewing statistics by date