BusphotoBUSPHOTO

Picture Statistics

611 KB


Picture ID:695254
File Size:611 KB
Author:ТИСУ
Publication Date:16.11.2024 11:45 EET
Days in Database:437
Unique views:166
Comments:0

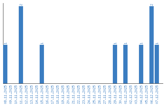
Viewing statistics by date