BusphotoBUSPHOTO

Iнфармацыя аб малюнку

810 КБ


Ідэнтыфікатар малюнка:695928
Памер файла:810 КБ
Аўтар:Transport_lodzkim_okiem
Апублікавана:17.11.2024 20:45 EET
Знаходзіцца на сайце, дзён:454
Унікальных праглядаў:176
Каментароў:0

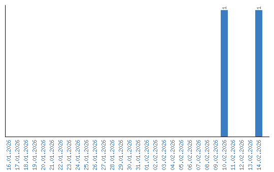
Дынаміка праглядаў па датах