BusphotoBUSPHOTO

Iнфармацыя аб малюнку

14044 КБ


Ідэнтыфікатар малюнка:699405
Памер файла:14044 КБ
Аўтар:Christopher Lambers
Апублікавана:28.11.2024 10:31 EET
Знаходзіцца на сайце, дзён:410
Унікальных праглядаў:152
Каментароў:0

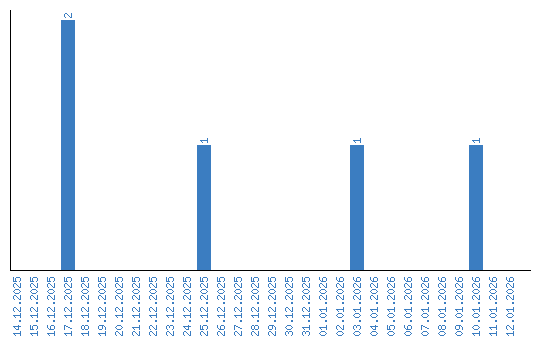
Дынаміка праглядаў па датах