BusphotoBUSPHOTO

Picture Statistics

276 KB


Picture ID:704675
File Size:276 KB
Author:ToBen
Publication Date:15.12.2024 16:07 EET
Days in Database:375
Unique views:221
Comments:0

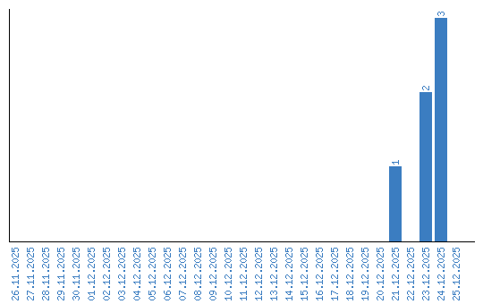
Viewing statistics by date