BusphotoBUSPHOTO

Statistiques d'images

372 KO


ID de l'image:704938
Taille du fichier:372 KO
Auteur:ToBen
Date de publication:15.12.2024 19:26 EET
Jours dans la base de données:375
Vues uniques:103
Commentaires:0

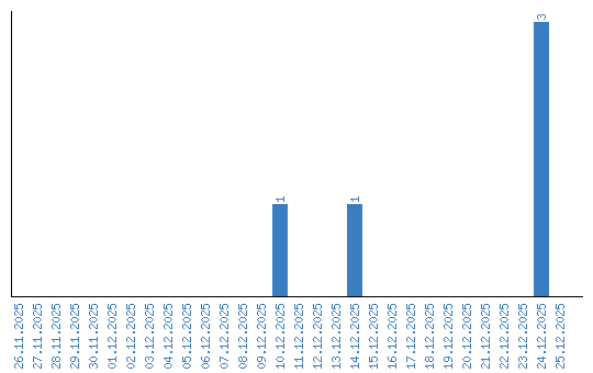
Affichage des statistiques par date