BusphotoBUSPHOTO

Picture Statistics

431 KB


Picture ID:706010
File Size:431 KB
Author:T131
Publication Date:18.12.2024 02:06 EET
Days in Database:390
Unique views:74
Comments:0

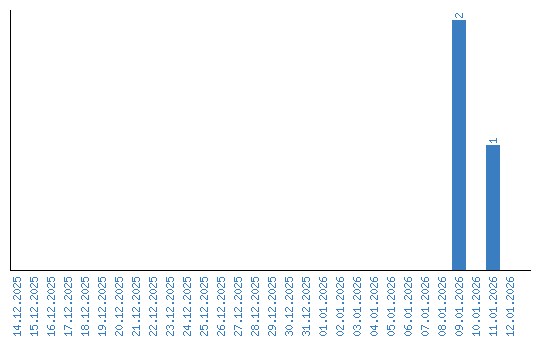
Viewing statistics by date